请问怎么计算预测股票的每股单价呀,我们今年年底退出,想预测下收益 2 我们投资企业300万,今年上市,发行价还没定,估值也无变化,我初步预测上市根据投资成本300万涨幅8%,是不是300✖️8% 就是我们初步预测得收益把

原标题:请问怎么计算预测股票的每股单价呀,我们今年年底退出,想预测下收益 2 我们投资企业300万,今年上市,发行价还没定,估值也无变化,我初步预测上市根据投资成本300万涨幅8%,是不是300✖️8% 就是我们初步预测得收益把

通知:《会计宝免费答疑群》已上线,席位有限,尽快加入

2023/2/16 20:16:56

请问怎么计算预测股票的每股单价呀,我们今年年底退出,想预测下收益 2 我们投资企业300万,今年上市,发行价还没定,估值也无变化,我初步预测上市根据投资成本300万涨幅8%,是不是300✖️8% 就是我们初步预测得收益把

是的,看到时候的市场价了

是的您是指的第二个对吧

是的

请问第一个怎么计算预测呀

第一个不好预测,股市上每分每秒都会发生变化,你们是拿的上市公司的股票吧?

是的

中位数也可以的

在万得等软件上有专业机构作出的未来趋势预测

可以参考下

有公式吗

公式就是教材上那些零增长模型,稳定增长模型等

实话讲,反映不了实际

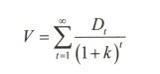
零增长模型 该模型认为,股票的内在价值可以用股票每年股利收入的现值来确定, 其基本计算公式如下: 其中: V代表当前每股股票的内在价值; Dt代表第t年每股股票的股利; K代表折现率或股票的期望收益率。

微信扫码获取同类问题
收藏
微信扫码获取相关问题

答疑详情
每个问题,2个老师,一答一审,确保准确 已审核

孙老师注册会计师,高级会计师,资产评估师,会计领军人才答疑老师
通知:《会计宝免费答疑群》已上线,席位有限,尽快加入
向老师提问

2023-02-16 20:16匿名提问

请问怎么计算预测股票的每股单价呀,我们今年年底退出,想预测下收益 2 我们投资企业300万,今年上市,发行价还没定,估值也无变化,我初步预测上市根据投资成本300万涨幅8%,是不是300✖️8% 就是我们初步预测得收益把
会计宝
会计宝

孙老师2023-02-16 21:44

是的,看到时候的市场价了
推荐你:加入免费答疑群,点击入群

2023-02-16 21:45匿名提问

是的您是指的第二个对吧
会计宝
会计宝

孙老师2023-02-16 21:45

是的

2023-02-16 21:45匿名提问

请问第一个怎么计算预测呀
会计宝
会计宝

孙老师2023-02-16 21:47

第一个不好预测,股市上每分每秒都会发生变化,你们是拿的上市公司的股票吧?

2023-02-16 21:47匿名提问

是的
会计宝

2023-02-16 21:48匿名提问

中位数也可以的
会计宝
会计宝

孙老师2023-02-16 21:51

在万得等软件上有专业机构作出的未来趋势预测
会计宝

孙老师2023-02-16 21:51

可以参考下

2023-02-16 21:51匿名提问

有公式吗
会计宝
会计宝

孙老师2023-02-16 21:56

公式就是教材上那些零增长模型,稳定增长模型等
会计宝

孙老师2023-02-16 21:56

实话讲,反映不了实际
会计宝

孙老师2023-02-16 21:56

会计宝
会计宝

孙老师2023-02-16 21:56

零增长模型 该模型认为,股票的内在价值可以用股票每年股利收入的现值来确定, 其基本计算公式如下: 其中: V代表当前每股股票的内在价值; Dt代表第t年每股股票的股利; K代表折现率或股票的期望收益率。
孙老师

孙老师2023-02-16 21:57

同学,我这有个会计宝的免费答疑群,挺好的,可以加进去看看
会计宝免费答疑群
问题答疑,案例知识分享,席位有限,尽快加入
点击查看详情

问答已结束!

点击展开全文 (16条)
发送
微信提问-边问边搜 每个问题,2个老师,一答一审,确保准确
378名专家老师,3分钟快速回复,已有120800会计人, 提问了198742 个问题
李伟老师
信用得分
36616
综合排名
7
答疑级别
高级老师
中级会计师,税务师,财务经理
擅长:企业账务实操处理
评分 4.6
/
已答 5925
/
打赏 154次
添加微信
andy老师
信用得分
34967
综合排名
9
答疑级别
高级老师
税务师,财务经理
擅长:出纳,商业,工业制造,建筑工程,服务业
评分 4.65
/
已答 6164
/
打赏 122次
添加微信
王苗苗老师
信用得分
73715
综合排名
1
答疑级别
专家老师
中级职称
擅长:商业,工业制造,餐饮酒店,个体工商户,服务业,运输业,物业,农业,高新企业,其他行业
评分 4.73
/
已答 11676
/
打赏 218次
添加微信

登录查看全文

发送验证码
直接提问-边问边搜 每个问题,2个老师,一答一审,确保准确
378名专家老师,3分钟快速回复,已有120800会计人, 提问了198742 个问题
在线客服 2023-03-12 19:00
同学,你好,你遇到了什么问题?
发送

精选问题

微信扫码 展开全文

会计大佬的微信,放心扫
已是好友会员 点击这里
微信扫码快速登录
边问边看,提问解锁全文 每个问题,2个老师,一答一审,确保准确
378名专家老师,3分钟快速回复,已有120800会计人, 提问了198742 个问题
0/300字

添加照片

老师正在解答中,请留下手机号会通过短信提醒。

发送验证码
点击查看详情 >>

登录后,立即查看全部回答

扫码关注公众号,就登录啦 (✿◠‿◠)

公众号:会计宝

知识点详解分享 工作问题免费提问 280套资料领取
资讯政策解读 行业事件,故事分享 财会圈交流

程序小哥拼命开发中
请移至App或者小程序进行提问

微信小程序

APP下载

快速提问
新问题·点我提问
正在提问
历史提问 >
 正在加载...
加载异常,点击重新加载
暂无问答
在线客服
每个问题,2个老师,一答一审,确保准确
1 提出问题
>
2 匹配老师
>
3 回答问题
 正在加载...
加载异常,点击重新加载
投诉反馈